Oman kodin ostaminen on yksi elämän suurimmista ja palkitsevimmista hetkistä. Se on uuden luvun alku, paikka, johon juurruttaa ja tila, jossa voi luoda muistoja tulevaisuutta varten.
Asuntolainalaskuri on yksi tärkeimmistä työkaluista matkallasi unelmiesi kotiin. Tarjoamme laskimen ja oppaan, jotka auttavat sinua tekemään luottavaisia päätöksiä ja astumaan tulevaisuuteen luottavaisin mielin.
Niin merkittävä matka ansaitsee parhaan mahdollisen alun. Se alkaa huolellisella ja selkeällä taloussuunnittelulla. Ymmärrämme, että asuntolainojen maailma voi vaikuttaa monimutkaiselta, mutta olemme täällä tehdäksemme siitä sinulle helppoa.
Käyttäen Asuntolainalaskuri vs. kaavan käyttö - kumpi on parempi?
Voit laskea asuntolainasi käyttämällä vakiokaavoja, mutta onko se nykypäivän nopeatempoisessa maailmassa fiksuin lähestymistapa? Vaikka matematiikan ymmärtäminen on arvokasta, asuntolainalaskuri on enemmän kuin pelkkä numeroiden laskeja – se on henkilökohtainen talousstrategisi.
Asuntolainalaskurimme on suunniteltu interaktiiviseksi taloudelliseksi hiekkalaatikoksi, sallien avulla näet välittömästi, miten eri muuttujat vaikuttavat potentiaaliseen lainaasi.
Siirrä abstrakteista käsitteistä konkreettisiin lukuihin ja saat selkeän ja välittömän käsityksen siitä, miltä asuntolainasi voisi näyttää.
Kun on kyse tulevan asuntolainasi ymmärtämisestä, on olemassa kaksi erillistä polkua, joita voit seurata. Toinen on perinteinen, manuaalinen reitti, ja toinen on moderni, strateginen lähestymistapa. Tutkitaanpa molempia.
Polku Manuaalinen kaavan laskenta
Tämä polku edellyttää työskentelyä suoraan ydin pankkien käyttämien matemaattisten että pankit käyttävät. Se vaatii kynän, paperia (tai yksinkertaisen taulukkolaskentaohjelman) ja huolellista huomiota yksityiskohtiin. Keskeiset kaavat ovat:
Muuttujien Määritelmät
Määritellään ensin kaavoissa käytetyt muuttujat:
- P = Lainan pääoma ( esim., 100 000 €)
- r = Vuosikorko desimaalina (esim., 4% = 0.04)
- i = Kuukausikorko ( Laskemme tämän seuraavasti: i=r/12)
- t = Laina-aika vuosina (esim., 25 vuotta)
- n = Maksuerien kokonaismäärä (Laskemme tämän seuraavasti: n=t×12)
- M = Kuukausierä
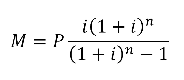
Annuiteettilainan kaava
Tämä on yleisin lainatyyppi, jossa kuukausierä (M) pysyy samana, jos korko ei muutu. Työkalumme laskee tämän käyttämällä vakioannuiteettikaavaa:

Tämä kaava laskee kiinteän kuukausierän, joka kattaa sekä pääoman että korot koko laina-ajalta.
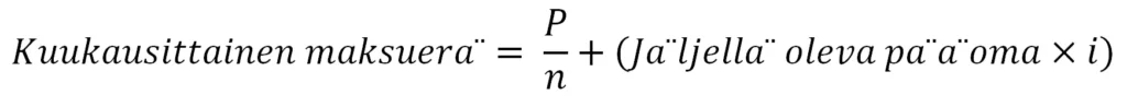
Kiinteän päämies lainakaavat
Tässä lainatyypissä lyhennyksen pääoma on sama joka kuukausi, mutta korko-osa pienenee ajan myötä. Tämä tarkoittaa, että kuukausittainen kokonaismaksu pienenee laina-ajan loppua kohden.
Työkalusi laskee tämän kahdessa osassa:
- Kunkin maksuerän pääomaosa: Tämä on yksinkertaisesti lainan kokonaismäärä jaettuna maksuerien lukumäärällä.

- Kokonais Kuukausierä: Kunkin kuukauden kokonaismäärä on kiinteä pääoma osuus ja kyseisen kuukauden jäljellä olevasta lainasaldosta laskettu korko. Ensimmäinen maksuerä on suurin.

Muita työkalussasi käytettyjä tärkeitä kaavoja
Asuntolainalaskuri mme tarjoaa myös muita arvokkaita lukuja näiden peruslaskelmien perusteella.
- Maksettu Korko yhteensä: Helpoin tapa laskea koko laina-ajalta maksettavien korkojen kokonaismäärä on:

(Varten Annuiteetti Laina)
Yksinkertaisesti sanottuna: (Kokonais Kuukausimaksut kerrottuna kuukausien lukumäärällä) miinus alkuperäinen lainasumma.
- Lainan ja Arvon Suhde: Työkalumme laskee lainan ja arvon suhteen, joka näyttää, kuinka suuren osan asunnon hinnasta laina kattaa. Tämä on ratkaisevan tärkeää lainakaton ymmärtämiseksi.

- Varainsiirtovero: Työkalusi laskee oikein ei-ensimmäistä kertaa ostavien siirtoveron nykyisen verokannan perusteella.

(Huomaa: Tämä on 1,5 %. Tätä ei lasketa, jos "Ensimmäisen kerran ostaja" -ruutu on valittuna.)
Miksi Asuntolainalaskuri on tehokkain työkalusi?
Haaveiletko uudesta kodista, mutta et ole varma, mistä aloittaa talouden kanssa? Kodin ostaminen on valtava askel, mutta talouden selvittämisen ei tarvitse olla monimutkaista. Asuntolainalaskurimme muuttaa monimutkaiset luvut yksinkertaisiksi ja selkeiksi vastauksiksi ja antaa sinulle itsevarmuutta tehdä fiksuja päätöksiä. Ajattele sitä henkilökohtaisena oppaanasi asunnon omistamiseen.
Mitä etuja asuntolainalaskurin käyttämisestä on?
- Tuntuuko sinusta koskaan siltä, että odotat vain pankin kertovan, mihin sinulla on varaa? Asuntolainalaskurisi kääntää käsikirjoituksen.
- Ajattele sitä kuin omaa yksityistä talousstrategiasi. Ennen kuin edes keskustelet lainanantajan kanssa, voit tutkia luottavaisesti kaikkia mahdollisuuksia – nähdä tarkasti, kuinka erilainen lainaehto tai korko muuttaa tulevaisuuttasi.
- Et lähde neuvotteluihin kysymysten, vaan selkeän suunnitelman ja läpikotaisin tietämyksen tuoman itsevarmuuden kanssa. Tällä työkalulla pääset kuljettajan istuimelle.
- Asuntolainalaskuri antaa sinulle epämääräisen kuvan; laskurimme antaa sinulle realistisen suunnitelman. Olemme rakentaneet tärkeitä paikallisia yksityiskohtia, kuten varainsiirtoveron ja ensiasunnon ostajan vapautuksen, jotta näet todelliset kustannukset, ei vain arvauksia.
- Paras osuus? yksittäinen napsautuksella voit viedä henkilökohtaisen suunnitelmasi ammattimaiseen PDF- tai Excel-tiedostoon. Tämä ei ole vain online-laskelma, se on asiakirjasi, joka on valmis jaettavaksi pankkisi tai kumppanisi kanssa ja joka todistaa, että olet vakava, hyvin valmistautunut ostaja.
Miksi tehdä käytät Asuntolainalaskuri?
Saatat ajatella: "Pankki kertoo minulle kaiken mitä minun tarvitsee tietää, joten miksi käyttää tätä?" Se on yleinen ajatus, mutta älykkäät ostajat tietävät, että valmistelu on voimaa.
Asuntolainalaskurimme ei korvaa pankkia, vaan se on yksityinen harjoituspaikkasi rakentaaksesi voittostrategian ennen kuin astut sisään.
Se antaa sinulle selkeän taloudellisen kuvan ilman paineita, mikä varmistaa, että kävelet sisään täysin valmistautuneena, hallitset keskustelua ja olet valmis varmistamaan parhaat mahdolliset ehdot kotillesi.
Älykäs Asuntolainalaskurin polku
Tämä on polku, jolla käytät tehokasta työkalua, joka on rakennettu työhön. Asuntolainalaskurimme ottaa monimutkaiset, virhealttiit kaavat, automatisoi ne ja antaa sinulle välittömiä ja tarkkoja tuloksia. Mutta se tekee paljon enemmän kuin se:
- Se on välitön: Saat täydellisen taloudellisen kuvan sekunneissa, ei tunneissa.
- Se on joustava: Muuta vaivattomasti lainan määrää, korkoa tai laina-aikaa nähdäksesi, kuinka se vaikuttaa maksuihisi. Voit tutkia kymmeniä erilaisia skenaarioita yhden manuaalisen laskelman aikana.
- Se on kattava: Tämä polku kattaa tärkeitä reaalimaailman kustannuksia, jotka pelkät kaavat jäävät huomaamatta, kuten paikalliset siirtoverot ja ensiostajan edut, mikä antaa sinulle todenmukaisen arvion.
Tuomio: Manuaalinen polku näyttää moottorin, kun taas strateginen polku antaa sinulle auton avaimet. Sen avulla voit suunnitella taloudellista tulevaisuuttasi nopeudella, itsevarmuudella ja täydellisellä näkemyksellä edessä olevasta tiestä.
Kuinka käyttää asuntolainalaskuri amme verkossa?
Asuntolainalaskurimme on suunnitellut varten sinä tietoja tarvitset heti. Saat heti käsityksen siitä, miltä asuntolainasi voisi näyttää.
Kokeile seuraavia vaiheita:
- Lainamäärä: Kirjoita kenttään summa, jonka tarvitset lainataksesi pankista.
- Valitse laina-aika: Päätä, kuinka monen vuoden ajan aiot maksaa lainan takaisin. Yleisin laina-aika on 20–25 vuotta.
- Aseta lainan korko: Kirjoita lainan arvioitu kokonaiskorko. Voit käyttää yleistä arviota, kuten 4,0 %, saadaksesi karkean arvion.

Kun olet syöttänyt tietosi, näet välittömästi arvion kuukausierästäsi ja auttaa sinua näkemään, kuinka laina sopii budjettiisi.
- Tutki kaaviota ja taulukkoa: Seuraa maksujen kehitystä.
- Lataa raportti: Vie PDF- tai Excel-tiedostona.

Asuntolainasi kielen ymmärtäminen
Tunnetko olosi eksyneeksi lainojen kielessä? Et ole yksin. Asuntolaina voi tuntua vieraalta kieleltä, joka on täynnä monimutkaisia termejä ja muuttujia.
Laskimemme on suunniteltu henkilökohtaiseksi kääntäjäksi, joka muuttaa talousslangista selkeitä ja käyttökelpoisia oivalluksia. Ymmärtämällä lainasi keskeiset osatekijät voit siirtyä passiivisesta lainanottajasta voimaantuneeksi taloudelliseksi päätöksentekijäksi.
kiinnostuksen menoista ymmärtäminen rahan säästämiseksi
Lainan korko on hinta, jonka maksat pankille lainasta rahaa. Jotta voit hallita lainasi kustannuksia, on tärkeää ymmärtää, mitä korko on. Se on yksinkertaisempaa kuin luulisi.
Selvitä viitekoron ja marginaalin ero
Maksamasi kokonaiskorko koostuu aina kahdesta osasta.
- Viitekorko: Tämä on markkinakorko, johon lainasi on sidottu. Yleisin Suomessa on euribor-korko (esim. 12 kuukauden euribor). Tämä korko muuttuu markkinoiden mukana, joten se voi nousta tai laskea lainasi aikana.
- Pankin marginaali: Tämä on pankin oma osuus, jonka se lisää viitekorkoon. Marginaali on pankin palkkio ja pysyy samana koko laina-ajan. Voit neuvotella marginaalin suuruudesta henkilökohtaisesti pankin kanssa.
laittaa vain: viitekorko + pankki marginaali = kokonaiskorko
Löydä parhaat lainaehdot tarpeidesi mukaan
Lainasi takaisinmaksutapa ja -aikataulu ovat kaksi suurinta tekijää, jotka vaikuttavat talouteesi tulevina vuosina. Online-asuntolainalaskurimme auttaa vertailemaan eri vaihtoehtoja ja löytämään sinulle parhaan ratkaisun.
Valitse laina-aika, joka sopii kustannuksiin
Laina-ajan valitsemalla päätät, maksatko lainan takaisin nopeammin suuremmissa erissä vai hitaammin pienemmissä erissä.
- Lyhyempi laina-aika (esim. 15-20 vuotta) tarkoittaa korkeampaa kuukausierää. Maksat lainan kuitenkin nopeasti pois ja säästät merkittävästi koroissa.
- Pidempi laina-aika (esim. 25-30 vuotta) tarkoittaa pienempää kuukausimaksua. Tämä antaa sinulle enemmän joustavuutta kuukausibudjetissasi, mutta maksat korkoa pidemmän ajan kuluessa.
Päätä itsellesi soparhaat kuoletusmenetelmä
Kuoletustapa määrittää, miten maksusi käyttäytyy korkojen muuttuessa.
- Annuiteettilaina on yleisin vaihtoehto. Tässä tapauksessa maksuerä kasvaa tai pienenee koron mukana, mutta lainan kesto pysyy aina samana.
- Kiinteälyinen laina tarjoaa ennustettavuutta. Maksat aina täsmälleen saman summan joka kuukausi. Jos korot nousevat, laina-aikasi pitenee.
Keskeisten päätösten tekeminen lainahakemuksessasi
Kun haet asuntolainaa, kohtaat useita kriittisiä valintoja, jotka muokkaavat taloudellista tulevaisuuttasi. Asuntolainalaskuri on olennainen työkalu näiden päätösten selkeään ja luotettavaan navigointiin. Se auttaa sinua siirtymään kuukausierän ulkopuolelle ja suunnittelemaan lainasi strategisesti.
Valinta yhteisen vai yksittäisen lainan välillä
Tämä on merkittävä päätös, joka vaikuttaa lainanhakuprosessiin ja vastuisiin. Molemmilla vaihtoehdoilla oli omat etunsa.
- Yhdessä hakeminen: Kun haette lainaa yhdessä, pankki laskee yhteen molempien tulosi. Tämä mahdollistaa yleensä suuremman lainan ja yhteisvastuun, mikä antaa turvaa.
- Yksin hakeminen: Kun haet lainaa yksin, sinulla on täysi vapaus ja vastuu kaikista päätöksistä. Lainasi määrä perustuu yksinomaan omaan takaisinmaksukykyysi.
Ota aikaa pohtia, mikä vaihtoehto palvelee paremmin nykyistä ja tulevaa elämäntilanteesi.
Varmista lainasi vakuuksilla
Asuntolaina on vakuudellinen laina. Tämä tarkoittaa, että pankki tarvitsee lainalle vakuuden siltä varalta, että et pysty maksamaan sitä takaisin.
Käytä huoneisto olet ostamassa vakuudeksi
Pääsääntöisesti ostamasi asunto toimii lainan päävakuutena. Pankki arvioi asunnon vakuusarvon olevan noin 70–75 % sen markkinahinnasta. Koska vakuuden arvo on alhaisempi kuin ostohinta, tarvitset yleensä myös lisävakuuksia lainallesi.
Laske yhteisrahoitus osuutesi
Suomen laki määrittelee lainakaton, joka rajoittaa pankin myöntämän lainan määrää.
- Voit yleensä saada lainaa jopa 90 % asunnon arvosta. Tämä tarkoittaa, että tarvitset vähintään 10 % omarahoitusta eli käsirahan omista säästöistäsi.
- Tämä ehto on joustavampi ensiasunnon ostajille.
ASP-lainan yliote ensiasunnon ostajille
Jos olet ostamassa ensimmäistä kotiasi, ASP järjestelmä on suunniteltu sinua varten. Se on valtion tukema järjestelmä, joka palkitsee säästöt ja tekee ensimmäisen asunnon ostamisesta helpompaa ja turvallisempaa.
Kun säästät ASP-tilille, saat merkittäviä etuja lainallesi:
- Parempi lainaraja: Tarvitset vain 5 % omarahoitus.
- Ilmainen valtiontakaus: Säästät satoja euroja takausmaksuissa.
- Korkotuki: Valtio maksaa osan koroistasi, jos se nousee tietyn rajan yli.
- Veroton lisäkorko: Saat säästöistäsi pankin maksamaa lisäkorkoa.
Suunnittele unelmiesi kodin osto
Oman kodin ostaminen on matka unelmasta konkreettiseksi suunnitelmaksi. Haluamme olla luotettava kumppanisi tällä matkalla ja antaa sinulle parhaat työkalut menestyäksesi.
Lue lupauksemme: Luota selkeyteen ja turvallisuuteen
Olemme rakentaneet tämän palvelun kahden periaatteen varaan: selkeys ja turvallisuus.
- Selkeys: Tarjoamme sinulle tarkan ja kattavan laskurin, joka antaa sinulle selkeän kuvan lainasi kustannuksista. Emme piilota mitään, vaan näytämme sinulle kaikki olennaiset luvut.
- Turvallisuus: Tietosuojasi on meille tärkeintä. Emme koskaan tallenna, jaa tai seuraa mitään tietoja, jotka annat laskimeen. Kaikki laskelmasi ovat täysin nimettömiä ja luottamuksellisia.
Johtopäätös
Nyt sinulla on kattava käsitys asuntolainaan liittyvistä keskeisistä tekijöistä koroista, takaisinmaksusta lainarajoihin ja vakuuksiin.
Tämä tieto antaa sinulle itseluottamusta ja hallinnan tunnetta, kun valmistaudut tekemään yhden elämäsi suurimmista taloudellisista päätöksistä.
Nyt on aika ottaa tämä uusi tieto käyttöön. Asuntolainalaskurimme on suunniteltu auttamaan sinua turvallisesti ja ilman velvoitteita kokeilemaan, miten nämä tekijät vaikuttavat lainaasi. Muuta unelmasi numeroiksi ja katso, mikä on mahdollista.
